
PDF Publication Title:
Text from PDF Page: 143
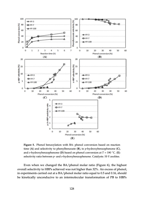
Catalysts 2015, 5 2233 case also, as with H-beta zeolites, the greatest activity was obtained with the intermediate SAR ratio. Overall, however, the activity was not much affected by the Si/Al ratio. (A) (B) (C) (D) (E) FigFuirgeur5e. 5P.hePnhoelnboelnzboeynlzaotiyolnatwiointhwBitAh:BpAhe:npohlecnonlvceorsnivoenrsbiaosnedbaosnedreoanctiroenacttiimone (A) time (A) and selectivity to phenylbenzoate (B), to p-hydroxybenzophenone (C), and selectivity to phenylbenzoate (B), to p-hydroxybenzophenone (C), and ◦ selectivity ratio between p- and o-hydroxybenzophenone. Catalysts: H-Y zeolites. between p- and o-hydroxybenzophenone. Catalysts: H-Y zeolites. and o-hydroxybenzophenone (D) based on phenol conversion at T = 190 C. (E): o-hydroxybenzophenone (D) based on phenol conversion at T = 190 °C. (E): selectivity ratio With these catalysts, also, PB was the only primary product, and the formation of HBPs occurred by Even when we changed the BA/phenol molar ratio (Figure 6), the highest the consecutive transformation of the ester. However, the selectivity to HBPs was lower than that shown overall selectivity to HBPs achieved was not higher than 32%. An excess of phenol, with H-beta zeolites, even with the more active H-Y sample. Therefore, H-Y zeolites were also poorly in experiments carried out at a BA/phenol molar ratio equal to 0.5 and 0.16, should efficient in the consecutive transformation of PB into HBPs; this is particularly apparent with the sample be kinetically unconducive to an intermolecular transformation of PB to HBPs 128PDF Image | Zeolite Catalysis
PDF Search Title:
Zeolite CatalysisOriginal File Name Searched:
Zeolite_Catalysis.pdfDIY PDF Search: Google It | Yahoo | Bing
NFT (Non Fungible Token): Buy our tech, design, development or system NFT and become part of our tech NFT network... More Info
IT XR Project Redstone NFT Available for Sale: NFT for high tech turbine design with one part 3D printed counter-rotating energy turbine. Be part of the future with this NFT. Can be bought and sold but only one design NFT exists. Royalties go to the developer (Infinity) to keep enhancing design and applications... More Info
Infinity Turbine IT XR Project Redstone Design: NFT for sale... NFT for high tech turbine design with one part 3D printed counter-rotating energy turbine. Includes all rights to this turbine design, including license for Fluid Handling Block I and II for the turbine assembly and housing. The NFT includes the blueprints (cad/cam), revenue streams, and all future development of the IT XR Project Redstone... More Info
Infinity Turbine ROT Radial Outflow Turbine 24 Design and Worldwide Rights: NFT for sale... NFT for the ROT 24 energy turbine. Be part of the future with this NFT. This design can be bought and sold but only one design NFT exists. You may manufacture the unit, or get the revenues from its sale from Infinity Turbine. Royalties go to the developer (Infinity) to keep enhancing design and applications... More Info
Infinity Supercritical CO2 10 Liter Extractor Design and Worldwide Rights: The Infinity Supercritical 10L CO2 extractor is for botanical oil extraction, which is rich in terpenes and can produce shelf ready full spectrum oil. With over 5 years of development, this industry leader mature extractor machine has been sold since 2015 and is part of many profitable businesses. The process can also be used for electrowinning, e-waste recycling, and lithium battery recycling, gold mining electronic wastes, precious metals. CO2 can also be used in a reverse fuel cell with nafion to make a gas-to-liquids fuel, such as methanol, ethanol and butanol or ethylene. Supercritical CO2 has also been used for treating nafion to make it more effective catalyst. This NFT is for the purchase of worldwide rights which includes the design. More Info
NFT (Non Fungible Token): Buy our tech, design, development or system NFT and become part of our tech NFT network... More Info
Infinity Turbine Products: Special for this month, any plans are $10,000 for complete Cad/Cam blueprints. License is for one build. Try before you buy a production license. May pay by Bitcoin or other Crypto. Products Page... More Info
| CONTACT TEL: 608-238-6001 Email: greg@infinityturbine.com | RSS | AMP |