
PDF Publication Title:
Text from PDF Page: 115
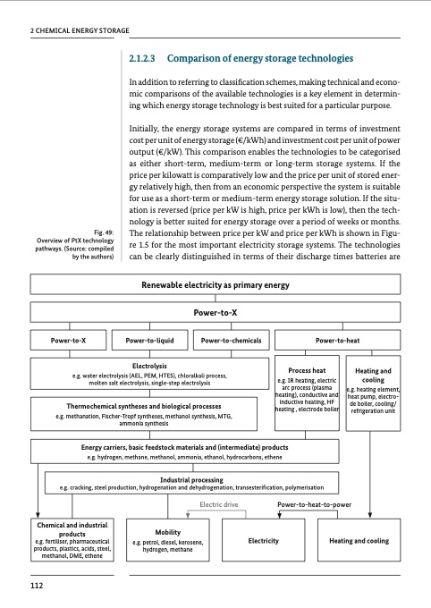
2 CHEMICAL ENERGY STORAGE Fig. 49: Overview of PtX technology pathways. (Source: compiled by the authors) 2.1.2.3 Comparison of energy storage technologies In addition to referring to classification schemes, making technical and econo- mic comparisons of the available technologies is a key element in determin- ing which energy storage technology is best suited for a particular purpose. Initially, the energy storage systems are compared in terms of investment cost per unit of energy storage (€/kWh) and investment cost per unit of power output (€/kW). This comparison enables the technologies to be categorised as either short-term, medium-term or long-term storage systems. If the price per kilowatt is comparatively low and the price per unit of stored ener- gy relatively high, then from an economic perspective the system is suitable for use as a short-term or medium-term energy storage solution. If the situ- ation is reversed (price per kW is high, price per kWh is low), then the tech- nology is better suited for energy storage over a period of weeks or months. The relationship between price per kW and price per kWh is shown in Figu- re 1.5 for the most important electricity storage systems. The technologies can be clearly distinguished in terms of their discharge times batteries are Renewable electricity as primary energy Power-to-X Power-to-X Power-to-liquid Electrolysis e.g. water electrolysis (AEL, PEM, HTES), chloralkali process, molten salt electrolysis, single-step electrolysis Power-to-chemicals Thermochemical syntheses and biological processes e.g. methanation, Fischer-Tropf syntheses, methanol synthesis, MTG, ammonia synthesis Energy carriers, basic feedstock materials and (intermediate) products e.g. hydrogen, methane, methanol, ammonia, ethanol, hydrocarbons, ethene Process heat e.g. IR heating, electric arc process (plasma heating), conductive and inductive heating, HF heating , electrode boiler Heating and cooling e.g. heating element, heat pump, electro- de boiler, cooling/ refrigeration unit Industrial processing e.g. cracking, steel production, hydrogenation and dehydrogenation, transesterification, polymerisation Electric drive Power-to-heat-to-power Chemical and industrial products e.g. fertiliser, pharmaceutical products, plastics, acids, steel, methanol, DME, ethene Mobility e.g. petrol, diesel, kerosene, hydrogen, methane Electricity Heating and cooling 112 Power-to-heatPDF Image | Chemical Processes and Use of CO2
PDF Search Title:
Chemical Processes and Use of CO2Original File Name Searched:
CO2_Buch_engl.pdfDIY PDF Search: Google It | Yahoo | Bing
NFT (Non Fungible Token): Buy our tech, design, development or system NFT and become part of our tech NFT network... More Info
IT XR Project Redstone NFT Available for Sale: NFT for high tech turbine design with one part 3D printed counter-rotating energy turbine. Be part of the future with this NFT. Can be bought and sold but only one design NFT exists. Royalties go to the developer (Infinity) to keep enhancing design and applications... More Info
Infinity Turbine IT XR Project Redstone Design: NFT for sale... NFT for high tech turbine design with one part 3D printed counter-rotating energy turbine. Includes all rights to this turbine design, including license for Fluid Handling Block I and II for the turbine assembly and housing. The NFT includes the blueprints (cad/cam), revenue streams, and all future development of the IT XR Project Redstone... More Info
Infinity Turbine ROT Radial Outflow Turbine 24 Design and Worldwide Rights: NFT for sale... NFT for the ROT 24 energy turbine. Be part of the future with this NFT. This design can be bought and sold but only one design NFT exists. You may manufacture the unit, or get the revenues from its sale from Infinity Turbine. Royalties go to the developer (Infinity) to keep enhancing design and applications... More Info
Infinity Supercritical CO2 10 Liter Extractor Design and Worldwide Rights: The Infinity Supercritical 10L CO2 extractor is for botanical oil extraction, which is rich in terpenes and can produce shelf ready full spectrum oil. With over 5 years of development, this industry leader mature extractor machine has been sold since 2015 and is part of many profitable businesses. The process can also be used for electrowinning, e-waste recycling, and lithium battery recycling, gold mining electronic wastes, precious metals. CO2 can also be used in a reverse fuel cell with nafion to make a gas-to-liquids fuel, such as methanol, ethanol and butanol or ethylene. Supercritical CO2 has also been used for treating nafion to make it more effective catalyst. This NFT is for the purchase of worldwide rights which includes the design. More Info
NFT (Non Fungible Token): Buy our tech, design, development or system NFT and become part of our tech NFT network... More Info
Infinity Turbine Products: Special for this month, any plans are $10,000 for complete Cad/Cam blueprints. License is for one build. Try before you buy a production license. May pay by Bitcoin or other Crypto. Products Page... More Info
| CONTACT TEL: 608-238-6001 Email: greg@infinityturbine.com | RSS | AMP |