
PDF Publication Title:
Text from PDF Page: 156
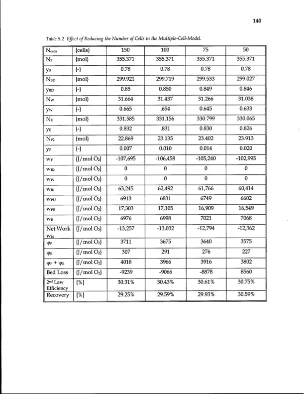
Table 5.2 Effect ofReducing the Number of Cells in the Multiple-Cell-Model. Ncells {cells} 150 100 75 50 NF {mol} yo {-} NBD {mol} 355.371 0.78 299.921 0.85 31.664 0.665 331.585 0.832 22.869 0.007 -107,695 355.371 0.78 299.719 0.850 31.437 .654 331.156 .831 23.135 0.010 -106,458 355.371 0.78 299.533 0.849 31.266 0.645 330.799 0.830 23.402 0.014 -105,240 355.371 0.78 299.027 0.846 31.038 0.633 330.065 0.826 23.913 0.020 -102,995 yBD Nw {mol} yw NE {mol} yE H NP 2 yp WF WB2 Ww WBI Wpu WPR WR Net Work WI4 V|/P VJ/P + l)/E Bed Loss 2n d Law Efficiency Recovery {mol} {-} 0/molO2 } {J/mol 02 } {J/mol02} {J/mol 02 } {J/mol 02 } {J/mol 02 } {J/mol 02 } {J/mol 02 } {J/mol 02} {J/mol 02} {J/mol 02} {J/mol 02 } {%} {%} 0000 0 0 0 0 H {-} 63,245 6913 17,303 6976 -13,257 3711 307 4018 -9239 30.31% 29.25% 62,492 6831 17,105 6998 -13,032 3675 291 3966 -9066 30.43% 29.59% 61,766 60,414 6749 6602 16,549 7021 7068 16,909 -12,794 -12,362 3640 3575 276 227 3916 3802 -8878 8560 30.61% 29.93% 30.75% 30.59% 140PDF Image | Energy Efficiency of Gas Separation Pressure Swing Adsorption
PDF Search Title:
Energy Efficiency of Gas Separation Pressure Swing AdsorptionOriginal File Name Searched:
ubc_1997-0009.pdfDIY PDF Search: Google It | Yahoo | Bing
CO2 Organic Rankine Cycle Experimenter Platform The supercritical CO2 phase change system is both a heat pump and organic rankine cycle which can be used for those purposes and as a supercritical extractor for advanced subcritical and supercritical extraction technology. Uses include producing nanoparticles, precious metal CO2 extraction, lithium battery recycling, and other applications... More Info
Heat Pumps CO2 ORC Heat Pump System Platform More Info
| CONTACT TEL: 608-238-6001 Email: greg@infinityturbine.com | RSS | AMP |